

gaoshengkeji@163.com

一、制修訂背景
《家用和類似用途微波爐能效限定值及能 效等級》國家標準于 2010年首次發布實施。家用 和類似用途微波爐(以下簡稱微波爐)能效標準的實施,對微波爐產品能效水平的提高起到了很大的促進作用。但隨著標準的實施,陸續出現了些問題,需要對標準進行修訂。

(1)產品能效已經整體提升:微波爐能效 標準已實施多年,產品能效及市場上的產品結構已經發生變化,需要適當提高能效指標,以促進行業進步。
(2)能效計算公式存在缺陷:2010版能效 標準在能效計算公式和熱效率計算公式中加熱 時間的表述方面存在不一致(采用IEC標準,而 IEC標準本身存在缺陷),導致一些企業單純追 求所謂的“高”能效,而將磁控管預熱時間包括在效率計算公式中,致使產品能效虛高,損害消費者利益。這種行為降低了能效標準的權威和信譽,不利于行業的技術發展。
(3)引用標準已經修訂:標準所引用的一些 規范性文件,如測試方法標準和安全規定標準已 經有新修訂版本(相應的IEC標準IEC 60705已 經修訂,對應的國家標準也已經修訂),因此能效標準也需要進行相應的更新。
(4)加熱均勻性是否需要包含:2010版能 效標準中包含了加熱均勻性的要求。由于加熱均勻性要求和能效要求相矛盾,有企業呼吁取消加熱均勻性要求。
(5)新產品出現:中國是世界上最大的微 波爐生產地,年產量約 6000萬臺,世界上超過 80%的微波爐產自中國。隨著技術的不斷革新, 新技術在產品上的應用也越來越多。老版能效標準中只包含了普通微波加熱以及燒烤功能。近幾年有越來越多的功能微波爐,比如帶有“蒸”功能的微波爐進入市場,新版的能效標準有必要對這些應用新技術的產品進行評估并盡可能的將其包括在標準范圍當中,及時規范市場,促進新技術的應用。

在這種情況下,2014年該標準的修訂獲得國 家標準委批準立項,2015年7月,修訂后的微波爐 能效標準通過了審查,并于 2015年10月確定了標 準報批稿,12月報國家標準技術審查部審批。自2016年元旦起,根據國務院關于強制性標 準精簡整合的有關精神,國家標準委開始強制性進行標準整合工作,所有尚未完成審查的強標暫停審查,微波爐能效標準處在尚未完成審查強標 之列,被暫停審查。2016年9月20號,全國能源基 礎與管理標準化技術委員會召開了全體委員及相關行業專家擴大會議,通過了有關強制性能效標準內容修改的決議。根據決議,刪除了有關節能評價值的相關內容,經過調整形成了新的報批稿,再次報批。幾經波折之后,微波爐能效標準 最終于2017年5月發布,并將于 2018年6月實施。
二、標題主要修訂內容
2.1 不再提及節能評價值
刪除了標準文本中所有提及節能評價值的 內容,但作為原節能評價值的能效 2級的能效值 及各級能效值等指標與首次報批時保持不變。并且,前言中也刪除了條款強制的說明內容。
2.2 能效等級由5級調整為3級
2010版微波爐能效標準中,產品的能效等 級分為5級。由于原標準中能效等級的級間差只 有2個百分點,導致由于測量不確定度等原因, 檢測結果可能產生跨級問題。本次修訂采取等級區間能效差放大的方式,能效級間差調整為 4,避免了由于測量不確定度等原因造成的可能 的跨級問題。調整后標準的能效等級分為 3級。 1級是目標值,達到 1級要求的產品是先進、高效 產品,目前市場上沒有或只有少數產品能夠達到; 2級也為高效產品,能夠達到 2級能效要求的 通常也不超過20%; 3級為市場準入指標,不能 滿足該等級能效指標的產品為淘汰產品,應禁止其生產和銷售。

2.3 取消了加熱均勻性的要求
從加熱均勻性和能效的測試方法上看,同樣是評估電熱的轉換效率,加熱均勻性強調的是微波在整個腔體內的分布情況,而能效則強調微波能量在轉盤中間的聚焦程度,聚焦越高,則輸出功率越高,對應的能效值也會越高。兩個要求是對立矛盾的:要想提高加熱均勻性,就得犧牲能效指標,反之亦然。并且,項目組收集的來自生產廠家的研究結果表明:均勻性指標高的微波爐,煮食物的效果不一定好。而均勻性指標差的微波爐,煮食物效果反而通常都比較好,所以加熱均勻性和煮食物這兩者沒有必然的聯系。因此,經過討論,起草組決定在修訂后的微波爐能效標準中取消關于加熱均勻性的要求。
2.4 完善了能效測試方法
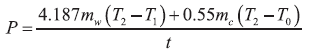
2010版微波爐能效標準中,微波爐效率計算 公式為:

式中加熱時間t的表述為:加熱時間。
微波爐輸出功率計算公式:

式中加熱時間t的表述為:加熱時間,除去磁 控管燈絲預加熱時間。這兩個公式中的加熱時間 為同一加熱時間,但是由于 IEC標準的缺陷,將 同一個加熱時間在兩個公式中采用了不同的表述,導致有的廠家在計算微波爐效率時,將磁控管燈絲預加熱時間也包括在了加熱時間內,這樣 最多可以導致10%的能效虛高。本標準修訂時, IEC標準已經做了修訂,糾正了這一錯誤。修訂后 的微波爐能效標準中,也對微波輸出效率的計算 公式中的加熱時間t做出了修訂,統一了微波爐效 率計算公式和微波爐輸出功率計算公式中加熱 時間t的表述,均為:加熱時間,除去磁控管燈絲 預加熱時間。
除去磁控管燈絲預加熱時間后,能效計算公式中的加熱時間變短。由于加熱時間處在效率計算公式的分子上,在其他條件相同的情況下,新的測試方法將導致同一微波爐采用新的測試方 法計算出來的能效比用2010版能效標準中的方 法得到的能效低。能效降低的程度和磁控管預加熱時間的長短有關, 5~6秒的預加熱時間會帶 來9%~10%的效率差, 3~4秒預加熱時間會帶
來5%~6%的效率差。通過對來自企業和檢測機 構的230多組對比測試數據的統計分析表明,新 版標準中明確并統一了加熱時間的描述之后,同 一微波爐的效率值平均比2010版標準低了大約5 個百分點。
2.5 提高了能效限定值及各級產品的能效指標
新標準提高了能效限定值、關機功率、待機 功率及燒烤能耗限定值指標,見表1、表 2。
能效限定值為表1中能效等級的3級的最低要求值。各能效等級的產品都必須同時滿足所在能效等級的能效指標要求,以及燒烤能耗限定值指標、關機和待機功率限值指標的要求。

(1)能效限定值:2010版能效標準中規定了 目標能效限定值,也就是標準實施兩年后(2012 年12月),能效限定值變為 4級:56(按2010版 本的計算方法)。本次修訂時,由于新的限定值 剛剛實施2年多,提高很多會給廠家帶來很大壓 力。由于按新的計算方法,能效降低 5個百分點, 修訂后的能效限定值定在52(能效3級),相當于 2010版能效指標的57,比 2010版標準中的目標能 效限定值提高了1個百分點,比 2010版能效標準 實施時的能效限定值提高了3個百分點。
(2)燒烤能效限定值:燒烤能耗限定值已 經從2010年標準實施時的1.4W?h提高到了2012 年的1.2W?h(目標能效限定值)。由于新的限定 值實施時間尚短,因此本次修訂暫不對燒烤能耗限定值進行提升,對燒烤能耗限定值的規定仍然為:“具有燒烤功能的微波爐,每攝氏度溫升 的能耗應不大于1.2W?h”。2010版標準中的燒烤是針對當時的上燒烤模式給出的,近年來出現了上、下和后面都有加熱源的燒烤方式。由于烘烤等其他方式的燒烤目前缺乏足夠的支撐數據,經討論,暫不納入。
(3)關機功率和待機功率:微波爐的關機功 率應不大于0.5W(2010版能效標準實施時為1W, 2011年7月1日后為0.5W)。待機模式時具有信息或 狀態顯示(包括時鐘)功能的微波爐,其待機功率 應不大于1W(2010版能效標準實施時為2W,2011 年7月1日后為1W);由于關機功率和待機功率在 2010版能效標準實施之后已經有了一次提升,本 次修訂不再進行提升。具有待機模式但不具備任

何信息顯示功能的微波爐,其待機功率應不大于 0.5W。由于市場上已經出現了帶有 Wi-Fi,藍牙等 通訊協議功能的微波爐,而這些產品在技術上滿足不了待機功率和關機功率的要求,作為一種特殊情況,起草組決定對其給予特殊對待,增加了備注,放在了能效等級的表格之內。
來源:《家電科技》第9期